Poštovani gospodine Jandrokoviću,
Hrvatski sabor je na svojoj sjednici 15. listopada 2021., a na prijedlog Vlade od 30. rujna 2021., imenovao predsjednika Upravnog vijeća Hrvatske energetske regulatorne agencije (HERA) Danijela Žambokija.
S obzirom na to da nam je hrvatska vlada predložila osobu koja je izostavila bitne elemente iz svog životopisa, to imenovanje možemo smatrati protupravnim jer je do njega došlo temeljem obmane. Nedvojbeno su prekršene odredbe Ustava RH čl. 81. te Poslovnika Hrvatskog Sabora čl. 268., 121. i 124.
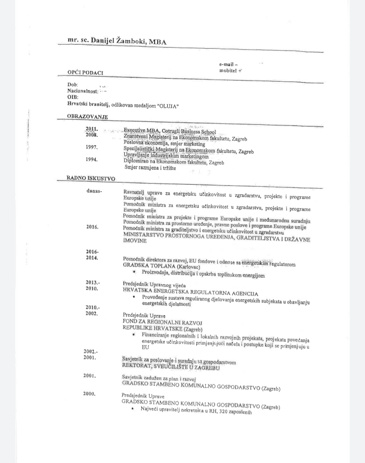
Naime, životopis gospodina Žambokija kojeg nam je dostavila Vlada uz prijedloga za njegovo imenovanje, sadrži cijeli niz informacija o gospodinu Žambokiju, kao, na primjer, da je ljubitelj putovanja te cijeli niz njegovih profesionalnih angažmana.
Međutim, gospodin Žamboki je izostavio navesti izrazito bitnu informaciju da je bio predsjednik Nadzornog odbora Karlovačke banke, i to punih osam godina, od 2005. – 2013. godine. Upravo u tom razdoblju banka je dovedena na rub propasti. Kao što je poznato, biti članom, štoviše, predsjednikom Nadzornog odbora jedne banke izrazito je velika odgovornost, za koju je potrebna i suglasnost HNB-a. Znači, riječ o izrazito važnoj nadzornoj funkciji.
Gospodin Žamboki se tijekom suđenja pojedincima iz Karlovačke banke, među kojima su bili i članovi Nadzornog odbora kojim je on predsjedao, samo-diskvalificirao za bilo kakve daljnje odgovorne javne dužnosti. Jer, tijekom svjedočenja on se ničega nije sjećao te je tvrdio da nije imao spoznaje o poslovanju, a koje su bile opće poznate. Osoba koja je ovako nesavjesno predsjedala Nadzornim odborom jedne banke i koja je obmanula Hrvatski sabor izostavši bitnu stavku iz svoga životopisa nije i ne može biti kvalificirana za predsjedanje Upravnim vijećom jedne, strateški iznimno važne institucije kao što je Hrvatska energetska regulatorna agencija.
Mora se utvrditi iz kojeg je razloga Vlada RH, kojoj su na raspolaganju različiti mehanizmi za utvrđivanje vjerodostojnosti pojedinih dokumenata, pa tako i životopisa, sudjelovala u falsificiranju prijedloga Hrvatskome saboru.
Hrvatska energetska regulatorna agencija tijelo je od iznimne važnosti za Hrvatsku, jer je ključno za tržište energije u Hrvatskoj. O odlukama HERA-e ovisi direktno životni standard naših građana, jer one utječu na cijene energenata.
Ta agencija ima iznimno bitnu ulogu kako za nacionalne, tako i za međunarodne investitore, a upravo nedostatak međunarodnih investicija srozava gospodarsku snagu Hrvatske i posljedično utječe na standard hrvatskih građana.
Hrvatski sabor zasigurno ne bi imenovao gospodina Žambokija da je bio upoznat s ovim prešućenim podacima iz njegovog poslovnog djelovanja.
Slijedom navedenog zahtijevam:
- Hitno uvrštavanje točke dnevnog reda s prijedlogom opoziva gospodina Žambokija s mjesta predsjednika Upravnog vijeća HERA-e zbog obmanjivanja Hrvatskog sabora.
- Imenovanje istražnog povjerenstva Hrvatskog sabora koje će utvrditi sve okolnosti koje su dovele do ovog teškog prijestupa u kojem je Hrvatski sabor obmanut.
S poštovanjem,
Karolina Vidović Krišto
Zastupnica

U prilogu:
– Članak Večernjeg lista od 3. srpnja 2017.
– Predmetni životopis Danijela Žambokija dostavljen Hrvatskome saboru
Na znanje:
– Odboru za Ustav, Poslovnik i politički sustav, svim članovima
– Odboru za zakonodavstvo, svim članovima
– Predsjedniku Vlade RH, gospodinu Andreju Plenkoviću
– Ministru gospodarstva i održivog razvoja, gospodinu Tomislavu Ćoriću
HOP












